Massospondylus
|
publication ID |
https://doi.org/10.1186/s13358-025-00382-5 |
|
persistent identifier |
https://treatment.plazi.org/id/601387EB-FFEB-FFDE-FCDF-FAC4A4F486F1 |
|
treatment provided by |
Felipe |
|
scientific name |
Massospondylus |
| status |
|
Massospondylus embryos and eggshells
Te previously described Massospondylus embryos of BP/1/5347 have most recently been estimated at about 60% through incubation based on the degree of cranial ossification ( Reisz et al., 2005, 2010; Chapelle et al., 2020a). Even without complete cranial material, our growth series finds the new embryos of BP/1/5346 to be a slightly more advanced ontogenetic stage than those of BP/1/5347 ( Fig. 3 View Fig ). As such, the new embryonic materials of BP/1/5346 and their respective eggshells present a unique opportunity to examine the phenomenon of ontogenetic change in early dinosaur eggshells (Stein et al., 2019; Halgrain et al., 2022; Han et al., 2024).
Tese eggshells from BP/1/5346 show the same largely undifferentiated crystalline calcite morphology as those of the previously published eggshell material BP/1/6229 and BP/1/5347 from the same site and appear to exhibit similar diagenetic modification ( Reisz et al., 2012; Stein et al., 2019). Te preservation of skeletal material of the two clutches BP/1/5346 and BP/1/5347 are also identical, indicating the consistent depositional environment of this locality, and the similar, likely identical preservational conditions. In BP/1/5347, histological examination has revealed that the mammillary cones were merged with, or are entirely obscured by the overlying isotropic layer (Stein et al., 2019: Fig. S3 View Fig ). As such, even though we are unable to histologically sample BP/1/6229 or BP/1/5346, the overall similarities between these and other eggshell materials that have been collected from this site allow us to compare their thicknesses. Te eggshell from eggs without embryos, BP/1/6229 (Supplementary File 2: Fig. S5 View Fig ), have an eggshell thickness ranging from 140-190 µm, the embryo BP/1/5347A has a thickness ranging from 80-100 µm (Stein et al., 2019), while the eggshell of the slightly larger and more developed embryos of BP/1/5346 measure roughly 38–56 µm in thickness ( Fig. 1E View Fig ). Tus, together with previous embryonic and eggshell material of Massospondylus from the same site, we observe an incremental range of eggshell thicknesses likely reflecting levels of eggshell resorption that appear to correlate with the development of their respective embryos, just as in birds ( Halgrain et al., 2022). Even though we do not have fossils representing a complete embryonic ontogeny, the current ontogenetic stages are sufficient to raise the possibility that the eggs with more developmentally advanced embryos exhibit greater degrees of eggshell resorption and vice versa. Tis raises the critical possibility that eggshell thickness and hardness can only be evaluated with confidence in eggs lacking embryos, which adds a new level of complexity to the dinosaur eggshell debate and should be considered in future research.
Inferring postures of Massospondylus
Te primitive condition of adult dinosaurs appears to be bipedalism (Sereno, 1997), but reversion to secondary quadrupedality from the primitive bipedal condition appears to have occurred at least four times within Dinosauria, and includes ceratopsians, ornithopods, thyreophorans, and most relevant to our results, sauropods (Sereno, 1997; Barrett & Maidment, 2017; Maidment et al., 2014). Among extinct dinosaurian taxa that showcase a spectrum of locomotory abilities, a recent example is Scutellosaurus lawleri ( Anderson et al., 2023) . Several other dinosaurs have also apparently undergone some form of ontogenetic postural change that may have been related to paedomorphosis (e.g., Norman, 1980; Heinrich et al., 1993; Dilkes, 2001; Zhao et al., 2013). Massospondylus is one such dinosaur suggested to have undergone a ontogenetic postural change from a quadruped to a biped ( Reisz et al., 2005, 2010, 2012; Bonnan & Senter, 2007; Yates et al., 2010).
Recently, several studies have sought to test if this dinosaur was quadrupedal at the earliest ontogenetic stages ( Reisz et al., 2005, 2010, 2012; Neenan et al., 2019; Chapelle et al., 2020b, 2022). Some studies aimed at inferring the postures of Massospondylus have used specific anatomical proxies to argue against a postural shift ( Neenan et al., 2019; Chapelle et al., 2020b, 2022). Te first approach involves mapping of the inner ear labyrinth, with specific focus on the height of the vertical canal, as a method for inferring postures in dinosaurs ( Georgi et al., 2013; Neenan et al., 2019). However, the reliability of this approach has also been seriously questioned (Taylor et al., 2009; Marugán-Lobón et al., 2013; Benson et al., 2017; Neenan et al., 2019). Te ontogenetic changes of the inner ear of Massospondylus were reconstructed ( Neenan et al., 2019), and although there may be slight ontogenetic variation in the vertical canal, it does not firmly support or reject postural change ( Georgi et al., 2013; Neenan et al., 2019). Nevertheless, Neenan et al. (2019) argue that the consistent “alert” head posture of Massospondylus throughout ontogeny does not suggest a postural change ( Neenan et al., 2019). However, the nature of this postural shift debate is not that of a postural change of the head, but that of the entire body, and while the head is not completely unrelated to the posture of an animal, it cannot be solely relied upon as an indicator of overall posture.
Te second approach aimed to infer postures is based on humeral and femoral circumference using a sample of largely extant mammals ( Chapelle et al., 2020b). Tis method is well suited for inferring habitual postures in most extant animals whose postures are uncontroversial; however, we stress that this analysis does not confidently reflect the posture of Massospondylus at early ontogenetic stages. Chapelle et al. (2020b) rely only on two relevant individuals to reject a hypothesized postural shift in Massospondylus . Te first is the embryo BP/1/5347A, which they recovered in their analysis as having an equivocal posture, and the second is the hatchling SAM-PK-K413, which they recovered as a biped. We caution against this finding that hatchling individuals of Massospondylus are likely bipedal, because it relies entirely on the humeral circumference of SAM-PK-K413, which is missing much of the midshaft ( Fig. 2 View Fig ).
A final approach uses cyclical growth marks (CGM) and lines of arrested growth (LAG) from the midshafts of the limb bones of Massospondylus . Chapelle et al., (2022) argue against a postural shift in Massospondylus on the basis of non-differential growth rates of the forelimbs relative to the hindlimbs throughout ontogeny. Most importantly, however, this analysis lacks sufficient representation of individuals from the ontogenetic stages when this hypothesized postural shift is likely to have occurred. It relies mainly on adult and subadult individuals, and synchrotron radiation-based micro-computed tomography (SRμCT) data of the embryo BP/1/5347A. In particular, we caution the reliability of this SRμCT embryonic data because it does not permit recognition of CGMs and LAGs for a confident estimation of growth rate ( Chapelle et al., 2022). Contrary to these findings by Chapelle et al. (2022), our growth trajectory for Massospondylus ( Fig. 3 View Fig ) clearly shows differential growth rate of the forelimbs relative to the hindlimbs (excluding the metapodials), wherein the hindlimbs lengthen at a higher rate than the forelimbs, which is consistent with a postural shift.
Conversely when inferring the possible postures of extinct animals, it is critical to consider the anatomy of the animal as a whole, and applying this rationale to Massospondylus appears to support a postural shift. Consistent with previously described embryos of BP/1/5347, the proportionately large head and elongated cervical vertebrae reflect a long neck with a heavy skull as in the other early-diverging sauropodomorphs Mussaurus ( Otero & Pol, 2021) and Qianlong ( Han et al., 2024) ( Fig. 6 View Fig ). Te newly discovered embryonic caudal series of BP/1/5346
( Fig. 1B View Fig ) indicates that the caudal vertebrae of Massospondylus are small and slender, with small transverse processes and hemal spines consistent with the presence of a gracile tail ( Reisz et al., 2005, 2010). As in Mussaurus, Qianlong and living quadrupedal mammals and reptiles, these proportions indicate that the centre of mass the embryos (BP/1/5346 & BP/1/5347) and the hatchling (SAM-PK-K413) is well forward of the pelvic gridle and necessitates a quadrupedal posture ( Reisz et al., 2005, 2010; Allen et al., 2013; Bates et al., 2016; Otero & Pol, 2021). Te reconstructed anatomy of the embryonic skeleton shows this set of skeletal proportions ( Fig. 6 View Fig ), and it is thereby unlikely that newly hatched hatchlings could have maintained an effective bipedal posture. Tese ontogenetically influenced body proportions are most appropriately interpreted as indicators of transitional stages along a continuum of postural change, as has similarly been proposed recently for other early sauropodomorphs ( Otero et al., 2019; Chapelle et al., 2020b; Otero & Pol, 2021; Creda et al., 2022; Han et al., 2024). Tis postural continuum would shift from obligate quadruped for newly hatched individuals, to facultative bipeds, to bipeds who are facultative quadrupeds, and eventually obligate bipeds for mature individuals, once a reduced forelimb length dictated such a locomotory system and posture.
Both embryos of BP/1/5346 and the hatching SAM-PKK413 lack ossified carpals, tarsals, and have poorly ossified articulating surfaces of the limb bones to facilitate rapid growth and elongation of these bones post-hatching (Starck, 1996, 1998; Kundrát et al., 2008). As such, they are also much more flexible than those of subadults and adults, which allows for a greater range of motion than in the latter and can make interpreting the critical range of motion of the forelimb and manus tenuous ( Otero et al., 2017). Just like Mussaurus and Lufengosaurus huenei , the Massospondylus hatchling SAM-PK-K413 and justhatched individuals of BP/1/5346 and BP/1/5347 were likely altricial, remaining close to or within the nest, and not necessarily relying on effective quadrupedal locomotion ( Reisz et al., 2005, 2010, 2013, 2024; Bonnan & Senter, 2007; Brusatte et al., 2010; Otero et al., 2019; Otero & Pol, 2021). Trackways at the Rooidraai nesting site attributed to Massospondylus hatchlings also support a quadrupedal posture for this ontogenetic stage ( Reisz et al., 2012).
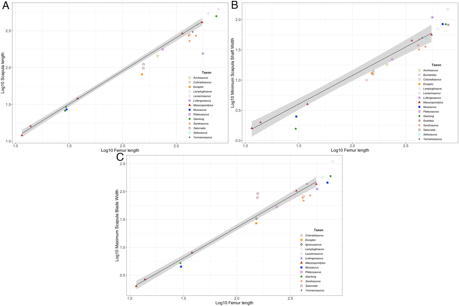
Given the lack of articulating surfaces in such immature individuals, posture must be inferred using several alternative anatomies. Te in situ articulation of the left forearm of SAM-PK-K413 remains in the pronated position with the radius craniomedially oriented with the ulna, which may indicate a possible quadrupedal stance ( Bonnan, 2003; Otero & Pol, 2021). Tis orientation contrasts with that of mature bipedal Massospondylus individuals (e.g., BP/1/4376) that show the opposite condition of a craniolaterally oriented radius ( Bonnan & Senter, 2007). Other anatomies suggested to indicate pronation of the manus, like the anterolateral process of the ulna and distal facet of the radius, are also not observable (Yates & Kitching, 2003; Yates et al., 2010). Furthermore, the femur is clearly straighter and less sinusoidal than that of confidently bipedal sauropodomorphs (Yates et al., 2010), which may indicate a more quadrupedal posture, as it is intermediate to that of the straight columnar sauropod condition and that of clearly bipedal earliest diverging sauropodomorphs like Eoraptor lunensis (Sereno et al., 2013) . Te scapular blade may also be important in considerations of posture for these early dinosaurs, because the height of the scapular blade may influence the position of the glenoid fossa on the side of the chest and the width of the distal scapular blade is related to attachment of relevant forelimb musculature. It is notable that the Mussaurus and Qianlong hatchlings both have similarly long and slender scapulas that plot just below the confidence interval for the growth trajectory of Massospondylus , while the adults plot well within the pattern shown by the latter ( Fig. 5 View Fig ). A similarly long and slender scapula is also seen in titanosaur hatchlings (GSI/GC/2904), which are unambiguously considered quadrupedal sauropods (Wilson et al., 2010). Conversely, it is interesting to note that a more distally expanded scapular blade is typical of the clearly bipedal earliest diverging sauropodomorphs like Eoraptor lunensis (Sereno et al., 2013) and mature Massospondylus specimens (e.g., BP/1/4934: Fig. S2 View Fig ). Tese morphologies of the scapular blade appear to correlate with distinct postures among sauropodomorphs and warrant future investigation.
Moreover, the reliability of allometric limb length methods for inferring posture within Sauropodomorpha have been questioned in light of the noticeable variation between these early-diverging taxa ( McPhee et al., 2018; Rauhut et al., 2011; Chapelle et al., 2020b), which appears consistent with the general trend of forelimb lengthening towards Sauropoda ( Barrett & Upchurch, 2005; Rauhut et al., 2011). As such, this method is best used in conjunction with other osteological indicators (Galton, 1970; Dilkes, 2001; Maidment & Barrett, 2014). It is worth noting that among more basal sauropodomorphs, particularly below the clade of Melanorosaurus + Sauropoda, more bipedal mature sauropodomorphs are suggested to have a higher discrepancy between fore and hind limb lengths and have a humerus to femur ratio typically <0.7, while those with more equivocal limb lengths typical of quadrupedal eusauropods are>0.8 ( Cooper, 1981; Gauthier, 1986; Yates & Kitching, 2003). It is also particularly important to consider that these proportional interpretations are most often related to subadult and adult taxa and may not have the same impact on posture in juveniles and hatchlings.
Even though the embryos BP/1/5347A and BP/1/5346 and the hatchling SAM-PK-K413 lack cartilaginous articulating surfaces, their limb lengths are still proportionately informative. Te measurable humerus to femur ratio for the Massospondylus embryo BP/1/5347A is 0.83, the embryo BP/1/5346 is 0.79, the hatchling SAM-PK-K413 is 0.71, the youngest known immature individual BP/1/5253 with a complete femur has a ratio of 0.62, the larger individual SAM-PK-K5135 has a ratio of 0.63, and the largest known mature Massospondylus BP /1/4934 is approximately 0.5. Given that some Massospondylus specimens lack various elements, they can nonetheless be estimated with reason using our Massospondylus growth series ( Fig. 3 View Fig ). As such, the complete forelimb to hindlimb ratio (combined length of humerus and ulna versus combined length of femur and tibia) for the smaller embryo BP/1/5347A is 0.71, while that of the larger embryo BP/1/5346, the hatchling SAM-PKK413, and the largest currently known Massospondylus skeleton BP/1/4934 are estimated at 0.69, 0.58, and 0.44 respectively. Te hatchling SAM-PK-K413 is therefore intermediate between the quadrupedal embryonic specimens and the bipedal condition of subadults and adults, indicating that the shift toward facultative bipedalism may have occurred early post-hatching. Tis result is not unexpected because the hatchling skeleton SAM-PKK413 (femur length = 38 mm) is positioned between the embryonic stages BP/1/5346 (femur length = 13.86 mm) and the youngest subadult individual SAM-PK-K5135 (femur length = 350 mm) on our Massospondylus growth series ( Fig. 3 View Fig ). Mussaurus and Qianlong also display considerable ontogenetic variation in such limb proportions (relative humerus and femur lengths) and both are considered to demonstrate ontogenetic posture shifts from quadruped to biped early in their ontogenies ( Otero & Pol, 2021; Han et al., 2024). Mussaurus ranges from ∼0.9 in the hatchling (PVL 4068) to ∼0.66 in an adult (MLP 68-II-27-1A), while Qianlong ranges from ∼0.85 ( VN 006- 1) and ∼0.83 ( VN 006-2) in the embryos to ∼0.49 in the adult (GZPM VN 001). Interestingly, slight differences in the proportions of the zeugopodia place the condition of Mussaurus closer to that of Massospondylus , since the combined forelimb to hindlimb ratios (excluding the poorly ossified autopodia) of each are 77.5% (PVL 4068) and 71% (BP/1/5347A), respectively.
Te extensive ontogenetic series and the growth trajectory of this early-diverging sauropodomorph dinosaur indicates an ontogenetic postural continuum wherein embryos and altricial hatchlings of Massospondylus likely relied on an obligate quadrupedal posture ( Bonnan & Senter, 2007; Reisz et al., 2005, 2010, 2024), with post-hatching individuals gradually becoming facultative quadrupeds or facultative bipeds and then eventually obligate bipeds upon maturity ( Alexander, 2006; Yates et al., 2010; McPhee et al., 2018; Chapelle et al., 2020b). Establishing a firm transition point between postural shifts remains difficult and may only be remedied by the discovery of early-stage juvenile and hatchling individuals. Given that early diverging sauropodomorphs are bipedal as adults ( Alexander, 2006; Yates et al., 2010; McPhee et al., 2018; Chapelle et al., 2020b), and all known hatchling and embryonic individuals have body proportions and general anatomies consistent with quadrupedality (Bonnan & Senter; 2007; Otero & Pol, 2021; Han et al., 2024), the finding that these early ontogenetic individuals of Massospondylus are also likely quadrupedal is fascinating and may further support the notion that quadrupedal condition of sauropods evolved through paedomorphosis ( Reisz et al., 2005).
Massospondylus growth trajectory and other sauropodomorph taxa
We find that despite some missing data, generalizations can be made about the ontogeny of Massospondylus . Several clear trends are observable; the skull undergoes extensive negative allometry during growth, as does the forelimb, whereas the neck undergoes strong positive allometry. Tere is also significant positive allometry in the width of the distal scapular blade. Although perhaps the most interesting ontogenetic change in Massospondylus is related to the iconic thumb claw. BP/1/5346 reveals that while much of the manus and pes are unossified, the first terminal digit is already well-ossified in the embryo BP/1/5346, possibly reflecting its functional importance early in ontogeny. Interestingly, the thumb claw is rather straight in the embryo BP/1/5346, becomes slightly more curved in the hatchling SAM-PK-K413, and continues to become more robust and dramatically more curved in more mature individuals (e.g., BP/1/4934 Fig. S2B View Fig ). Tere also appears to be proportionately greater growth of the thumb claw and that of the robustness of the first digit relative to corresponding digits in the embryo BP/1/5346. In adult Massospondylus individuals, the robust and strongly curved first ungual likely reflects its functions related to feeding as well as defense ( Galton & Upchurch, 2004; Bonnan & Senter, 2007; Barrett & Upchurch, 2007), while the function of the straighter embryonic and hatchling condition remains unclear. However, given the probable ontogenetic postural shifts of Massospondylus , the thumb claw likely reflects ontogenetic variation consistent with varying behaviours of feeding and defense ( Galton, 1971; Galton, 1976).
Te available data also indicates that there are important similarities and few differences among various early-diverging sauropodomorph taxa. Overall body proportions appear to trend along similar growth trajectories to that of Massospondylus , even though there may be large differences in size, and their respective phylogenetic positions ( McPhee et al., 2017; Apaldetti et al., 2021; Foth et al., 2021). Te similar growth trajectories of elements influencing posture in a variety of other early-diverging sauropodomorphs included here may also indicate similar ontogenetically influenced postural shifts like that of Massospondylus . A particularly notable trend among these early-diverging sauropodomorphs is the shortening of the humerus relative to the femur throughout ontogeny, which is consistent with a shift to bipedalism. Of course, there is taxonomic and ontogenetic variation, but the currently available data show that all included taxa appear to follow a pattern of body and skeletal proportions that plot well within or near the known growth trajectory of Massospondylus . Comparisons among Mussaurus, Qianlong , and Massospondylus are particularly interesting because they are considered phylogenetically distant from each other but are the only early-diverging sauropodomorphs represented by both hatchlings and adults. Mussaurus and Qianlong appear to differ in having longer limbed early ontogenetic individuals, which is in line with a shift toward the quadrupedal sauropod condition, indicating that they may have retained this condition longer than Massospondylus . In general, body proportions of Mussaurus and Qianlong plot very close to that of Massospondylus at various ontogenetic stages, raising the possibility that they may have had particularly similar growth trajectories. Although speculative, we predict that if new material of Mussaurus and Qianlong is included in a construction of a growth trajectory, this may be the case.
Although there are several important similarities among many early-diverging sauropodomorphs, there are few apparent differences that may indicate a differing biology from that of the well-documented Massospondylus . Buriolestes schultzi ( Müller et al., 2018: CAPPA /UFSM 0035) and Eoraptor lunensis (Sereno et al., 2013: PVSJ 512), the most basal presumed sauropodomorph taxa, consistently plot on the fringe or beyond all other early-diverging sauropodomorphs included in this analysis, and often represent the primitive condition. Of particular note, they have longer skulls and shorter cervical vertebrae relative to the length of the femur when compared to those of comparatively more advanced non sauropod sauropodomorphs like Massospondylus . Neck-cervical elongation is typical of many sauropodomorphs, but most Early Jurassic taxa plot slightly below Massospondylus , indicating that Massospondylus had longer than average cervical vertebrae relative to the femur when compared to many other well-known Early Jurassic sauropodomorphs.
Differences among taxa based on their geographies and temporal separation also reveal few apparent differences among early-diverging sauropodomorphs. Of the taxa included in this study, there may be a trend where Chinese and South African taxa have generally longer skulls, perhaps indicating a potential difference in feeding preference or behaviour. South American taxa also appear to have shorter cervical vertebrae than South African taxa, followed by American and European taxa. Interestingly, apart from Coloradisaurus brevis ( Apaldetti et al., 2012: PVL 5904), Late Triassic taxa plot below that of Massospondylus , suggesting that the primitive condition may be relatively shorter dorsal vertebrae relative to the length of the femur. Otherwise, there does not appear to be any other differing trends of significance based on geography, as all taxa included in this analysis plot within proximity from one another for all other measured elements.
Although early-diverging sauropodomorph dinosaurs that extend from the Late Triassic and into the Early Jurassic do not form a clade, the ontogenetic series of Massospondylus and comparisons between various early-diverging sauropodomorph taxa indicate that there are strong similarities among them in terms of body proportions, posture, and likely their lifestyles. Tis is a surprising outcome and warrants future study, considering these early-diverging sauropodomorphs were able to achieve a global distribution while maintaining similar body plans until the emergence of the first Late Jurassic sauropods.
No known copyright restrictions apply. See Agosti, D., Egloff, W., 2009. Taxonomic information exchange and copyright: the Plazi approach. BMC Research Notes 2009, 2:53 for further explanation.
