Massospondylus
|
publication ID |
https://doi.org/10.1186/s13358-025-00382-5 |
|
persistent identifier |
https://treatment.plazi.org/id/601387EB-FFE7-FFD9-FCDF-FE5CA0618659 |
|
treatment provided by |
Felipe |
|
scientific name |
Massospondylus |
| status |
|
Massospondylus ontogeny
Tese new embryonic (BP/1/5346) and hatchling (SAM-PK-K314) specimens add to our limited understanding of the earliest ontogenetic stages of Massospondylus ( Fig. 3 View Fig ) ( Reisz et al., 2005, 2010; Neenan et al., 2019; Chapelle et al., 2020b). Te skull, ulna, and humerus have negative allometric coefficients indicating a reduced growth rate of these skeletal elements compared to the femur. However, the cervical vertebrae and distal scapular blade width have positive allometries, with the strongest being that of the cervical vertebrae. Lastly, the dorsal vertebra, tibia, scapular length, and scapular shaft width have allometric coefficients closest to 1, indicating that these skeletal elements grew near isometrically with the femur.
Ontogenetic comparisons among early-diverging sauropodomorphs
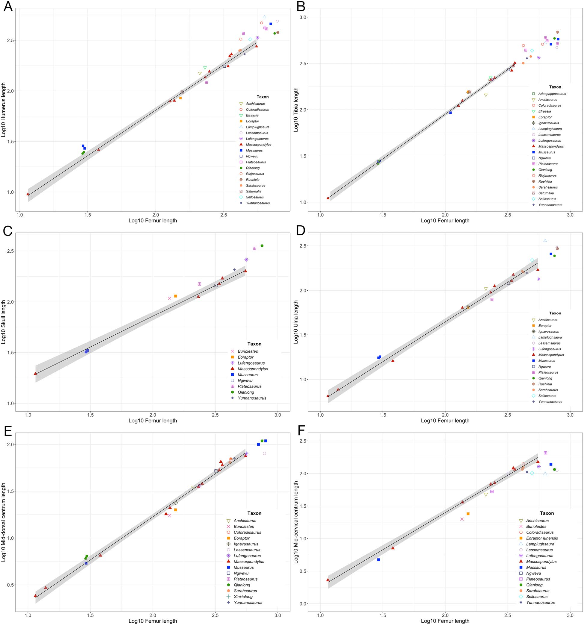
Tis comprehensive ontogenetic series of Massospondylus allows us to postulate patterns of growth not known in other Late Triassic and Early Jurassic sauropodomorphs. We compare the ontogenetic series of Massospondylus with twenty-two other sauropodomorph dinosaurs to investigate ontogenetically influenced body proportions for taxa with little or no ontogenetic information ( Fig. 4 View Fig ). Tus, we can test where other morphologically similar sauropodomorphs plot along the growth trajectory of Massospondylus . We recognize the limitations of this approach since the ontogenetic stage represented by other sauropodomorphs may often not correspond to the same stage shown in Massospondylus , but the results provide important insights into the similarities and differences that characterize sauropodomorph dinosaurs as they increased in size and acquired sauropod body proportions.
Te skull of hatchlings belonging to Mussaurus ( Otero et al., 2019: PVL 4068; Otero & Pol, 2021: MACN-PV 4111) and that of the mature Ngwevu intloko ( Chapelle et al., 2019: BP/1/4779) plot within the 95% confidence interval of the Massospondylus growth trajectory, whereas all other early-diverging sauropodomorph taxa included here, plot slightly above with relatively larger skull lengths than Massospondylus ( Fig. 4C View Fig ). Buriolestes schultzi ( Müller et al., 2018: CAPPA /UFSM 0035) and Eoraptor lunensis (Sereno et al., 2013: PVSJ 512), the most basal presumed sauropodomorph taxa included, plot similarly above. It is notable that Ngwevu intloko ( Chapelle et al., 2019: BP/1/4779), formerly considered to be part of the Massospondylus growth trajectory ( Reisz et al., 2005), is the sole taxon to fit perfectly along the trend line of the 95% confidence interval of the Massospondylus growth trajectory.
Te cervical vertebrae of Ngwevu intloko ( Chapelle et al., 2019: BP/1/4779), Coloradisaurus brevis ( Apaldetti et al., 2012: PVL5904), and Sarahsaurus aurifontanalis (personal observation: TMM 43646-56; Marsh & Rowe, 2018: TMM 43646-2) all plot within the 95% confidence interval of the Massospondylus growth trajectory ( Fig. 4F View Fig ). Interestingly, the Late Triassic Plateosaurus gracilis ( Huene, 1907 /1908: 53537), which has a larger femur than any known specimen of Massospondylus , plots along this Massospondylus growth trajectory. All other taxa included in this analysis plot below the Massospondylus growth trajectory, including Buriolestes schultzi ( Müller et al., 2018: CAPPA /UFSM 0035), Eoraptor lunensis (Sereno et al., 2013: PVSJ 512), and Lessemsaurus sauropoides ( Pol & Powell, 2007: PVL 4822). Neck-cervical elongation is a sauropodomorph condition, but most Early Jurassic taxa plot slightly below Massospondylus , indicating that Massospondylus had longer than average cervical vertebrae compared to many other well-known Early Jurassic sauropodomorphs tested here.
Te dorsal vertebrae of most taxa plot either within the 95% confidence interval of the Massospondylus growth trajectory as expected, apart from Buriolestes schultzi ( Müller et al., 2018: CAPPA /UFSM 0035), Eoraptor lunensis (Sereno et al., 2013: PVSJ 512), and Lessemsaurus sauropoides ( Pol & Powell, 2007: PVL 4822) that plot slightly below. Overall, the ontogenetic relationship between femur length and mid-dorsal vertebral length appears to be nearly isometric, suggesting a close relationship between body mass and femur length ( Fig. 4E View Fig ). Interestingly, apart from Coloradisaurus brevis ( Apaldetti et al., 2012: PVL 5904), Late Triassic taxa plot below that of Massospondylus .
Te ulna is the most readily measurable element of the zeugopodium, but the ontogenetic level of ossification of the olecranon may be a confounding factor. Mussaurus hatchlings ( Otero et al., 2019: PVL 4068; Otero & Pol, 2021: MACN-PV 4111) plot slightly above the Massospondylus confidence interval ( Fig. 4D View Fig ), but the adult Mussaurus ( Otero & Pol, 2013: MLP 68-II-27-1A) and Qianlong ( Han et al., 2024: GZPM VN 001) individuals appears to have relatively longer ulna that are more consistent with that seen in Massospondylus . Lufengosaurus huenei (Young, 1941: IVPP V15) and material suggested to belong to a Plateosaurus trossingensis juvenile ( Nau et al., 2020: MSF 15.8B) plot just below the 95% confidence interval of the Massospondylus growth trajectory indicating a relatively shorter ulna at adult size, while Lamplughsaura dharmaramensis ( Kutty et al., 2007: ISI R257) plots far above. It is also worth noting that Lessemsaurus sauropoides ( Pol & Powell, 2007: PVL 4822) and Ruehleia bedheimensis ( Galton, 2001: MB RvL 1) plot very closely to each other and likely within the Massospondylus confidence interval if it were extended beyond the largest known individual.
Te humerus for most taxa plot above the 95% confidence interval of the Massospondylus growth trajectory, especially among the larger known specimens, similar to or larger than the largest known specimen of Massospondylus ( Fig. 4A View Fig ). Te Mussaurus ( Otero et al., 2019: PVL 4068; Otero & Pol, 2021: MACN-PV 4111) and Qianlong embryos ( Han et al., 2024: GZPM VN 006-1, GZPM VN 006-2) both plot slightly above, with Qianlong slightly below that of Mussaurus , which are results consistent with that of the ulna. Eoraptor lunensis (Sereno et al., 2013: PVSJ 512) and the Plateosaurus trossingensis specimen suggested to be a juvenile ( Nau et al., 2020: MSF 15.8B) plot slightly below the 95% confidence interval of the Massospondylus growth trajectory. However, within this distribution, there also appears to be a greater degree of variation in humeral length among differing, larger and more mature early-diverging sauropodomorphs. Te distribution of many Early Jurassic taxa above the 95% confidence interval of the Massospondylus growth trajectory may also indicate the same trend, in that early-diverging sauropodomorphs of greater size and maturity have a comparatively greater humeral to femoral ratio than that of Massospondylus .
Tere is apparent ontogenetic and taxonomic variation in scapular morphologies in early-diverging sauropodomorphs from the Late Triassic and Early Jurassic
( Fig. 5 View Fig ). Te results suggest that for scapular length, most taxa plot below the 95% confidence interval of the Massospondylus growth trajectory, except for Lamplughsaura dharmaramensis ( Kutty et al., 2007: ISI R257) and Lessemsaurus sauropoides ( Pol & Powell, 2007: PVL 4822), which plot beyond and likely above
( Fig. 5A View Fig ). Interestingly, Qianlong ( Han et al., 2024: GZPM VN 001, GZPM VN 004-2, GZPM VN 006-1) and Mussaurus ( Otero et al., 2019: PVL 4068) plot within or very close to the 95% confidence interval of the Massospondylus growth trajectory. Sellosaurus gracilis ( Galton, 1984: SMNS 17928) also plots especially well on the Massospondylus growth trajectory. Te minimum mid-shaft width of the scapula is more variable within Massospondylus and still many of the other early-diverging sauropodomorph taxa tested here plot outside the 95% confidence interval ( Fig. 5B View Fig ). For example, Yunnanosaurus huangi (Young, 1942: IVPP V20), Coloradisaurus brevis ( Apaldetti et al., 2012: PVL 5904), Sellosaurus gracilis ( Galton, 1984: SMNS 17928), and likely Lamplughsaura dharmaramensis ( Kutty et al., 2007: ISI R257) and Ruehleia bedheimensis ( Galton, 2001: MB RvL 1) plot close to the Massospondylus growth trajectory. Sarahsaurus aurifontanalis (personal observation: TMM 43646- 56; Marsh & Rowe, 2018: TMM 43646-2, 43646-3), the juvenile Plateosaurus trossingensis specimen ( Nau et al., 2020: MSF 15.8B), as well as adult Mussaurus ( Otero & Pol, 2013: MLP 68-II-27-1A) and Qianlong ( Han et al., 2024: GZPM VN 001) also plot within the 95% confidence interval of the Massospondylus growth trajectory. All other taxa except Lufengosaurus huenei (Young, 1941: IVPP V15) and Lessemsaurus sauropoides ( Pol & Powell, 2007: PVL 4822) plot below Massospondylus and, overall, indicate variable scapular width within and between those taxa included here. Rather interestingly, the Mussaurus hatchling ( Otero et al., 2019: PVL 4068) plots below Massospondylus individuals of similar ontogenetic stage and the adult Mussaurus ( Otero & Pol, 2013: MLP 68-II-27-1A) is much more typical of Massospondylus of comparable maturity. Tere also appears to be noticeable taxonomic variation for the distal scapular blade width, as the majority of taxa plot below the 95% confidence interval of the Massospondylus growth trajectory except for Saturnalia ( Langer, 2003; Langer et al., 2007: MCP 3844-PV, MCP 3845-PV) and Lessemsaurus sauropoides ( Pol & Powell, 2007: PVL 4822), which plot well above
( Fig. 5C View Fig ). Plateosaurus trossingensis ( Nau et al., 2020: MSF 15.8B, Yunnanosaurus huangi (Young, 1942: IVPP V20), and likely Lamplughsaura dharmaramensis ( Kutty et al., 2007: ISI R257) plot within the 95% confidence interval of the Massospondylus growth trajectory. Te Mussaurus hatchling and adult ( Otero & Pol, 2013: MLP 68-II-27-1A; Otero et al., 2019: PVL 4068) plot uniformly below the 95% confidence interval of the Massospondylus growth trajectory, while the embryo and adult Qianlong ( Han et al., 2024: GZPM VN 001, GZPM VN 004-2) plot within or on the bottom fringe. Buriolestes schultzi ( Müller et al., 2018: CAPPA/UFSM 0035) and Eoraptor lunensis (Sereno et al., 2013: PVSJ 512) consistently plot below 95% confidence interval of the Massospondylus growth trajectory for all scapular growth trajectories.
Te tibia of most early-diverging sauropods included in this analysis plot outside the 95% confidence interval of the Massospondylus growth trajectory, except for the Mussaurus hatchlings ( Otero et al., 2019: PVL 4068; Otero & Pol, 2021: MACN-PV 4111) and the Qianlong embryo ( Han et al., 2024: GZPM VN 004-2), which plot well within this 95% confidence interval and remain close to or within it for more mature individuals ( Fig. 4B View Fig ). Plateosaurus trossingensis ( Nau et al., 2020: MSF 15.8B) as well as Adeopapposaurus mognai ( Martínez, 2009: PVSJ610+PVSJ569) also plot within the confidence interval but the rest of the taxa plot above or beyond the confidence interval. It is likely that many taxa like Sellosaurus gracilis ( Galton, 1984: SMNS 17928), Riojasaurus incertus ( Rauhut et al., 2011: PVL 3808), and Lamplughsaura dharmaramensis ( Kutty et al., 2007: ISI R257) also would plot within or very close to the Massospondylus growth trajectory, if larger individuals of the latter are discovered. Interestingly, Anchisaurus polyzelus ( Galton, 1976: YPM 1883), Lufengosaurus huenei (Young, 1941: IVPP V15), Plateosaurus gracilis ( Huene, 1907 /1908: SMNS 53537), and Lessemsaurus sauropoides ( Pol & Powell, 2007: PVL 4822) all plot underneath the 95% confidence interval of the Massospondylus growth trajectory, suggesting a shorter tibia relative to the femur length.
No known copyright restrictions apply. See Agosti, D., Egloff, W., 2009. Taxonomic information exchange and copyright: the Plazi approach. BMC Research Notes 2009, 2:53 for further explanation.
